1. 로그인
  2. 회원가입
충북청주강소특구
사업화유망기술
기술상담신청
기술탐색문의
지원사업안내

사업화유망기술

한국인의 TNF 저해제 약물 반응성 예측을 위한 바이오마커
분야
보건/의료

한국인의 TNF 저해제 약물 반응성 예측을 위한 바이오마커

보유기관 및 연구자 : 충북대학교 이경은 교수

개발상태
4/9

기술완성도

TRL09

사업화

  • 본격적인 양산 및 사업화 단계
TRL08

시작품 인증/
표준화

  • 일부 시제품의 인증 및 인허가 취득 단계
    - 조선 기자재의 경우 선급기관 인증, 의약품의 경우 식약청의 품목 허가 등
TRL07

Pilot 단계 시작품
신뢰성 평가

  • 시작품의 신뢰성 평가
  • 실제 환경(수요기업)에서 성능 검증이 이루어지는 단계
TRL06

Pilot 단계 시작품
성능 평가

  • 경제성(생산성)을 고려한, 파일로트 규모의 시작품 제작 및 평가
  • 시작품 성능평가
TRL05

시제품 제작/
성능평가

  • 개발한 부품/시스템의 시작품(Prototype) 제작 및 성능 평가
  • 경제성(생산성)을 고려하지 않고, 우수한 시작품을 1개~수개 미만으로 개발
TRL04

연구실 규모의
부품/시스템 성능평가

  • 연구실 규모의 부품/시스템 성능 평가가 완료된 단계
  • 실용화를 위한 핵심요소기술 확보
TRL03

연구실 규모의
성능 검증

  • 연구실/실험실 규모의 환경에서 기본 성능이 검증될 수 있는 단계
  • 개발하려는 시스템/부품의 기본 설계도면을 확보하는 단계
  • 모델링/설계기술 확보
TRL02

실용 목적의 아이디어/
특허 등 개념 정립

  • 실용 목적의 아이디어, 특허 등 개념 정립
TRL01

기초 이론/
실험

  • 연구과제 탐색 및 기회 발굴 단계
특허정보
  • 한국인의 TNF 저해제 약물 반응성 예측을 위한 바이오마커 (No : 10-2429261)

거래 조건 :
추후 협의
상담신청 기술문의

기술개요

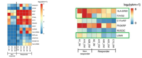
- 한국인의 TNF 저해제 약물 반응성 예측을 위한 바이오마커 및 이의 용도에 관한 것
- 한국인 류마티스 환자를 대상으로 하여 TNF 저해제에 대한 반응군과 비반응군 분류
- 비교분석을 통해 두 군 간의 유의미한 차이를 보이는 유전적 인자를 발굴하여 약물 반응을 예측 가능

기술개발현황

- 류마티스 관절염 치료 반응에 대한 분자학적 기전 연구가 다양하게 진행중
- 결과 대부분이 백인을 대상으로 한 연구 결과로써 유전학적 특성, 환경적 특성, 사회경제학적 특성이 달라 적용에 어려움 존재

기술의 차별성 및 우수성

- 혈액 바이오마커로서 임상에 적용하는 경우 체액 검사만으로 한국인의 류마티스 관절염 환자에 있어서 TNF 저해제 약물 반응성 예측이 가능
- 간단히 측정 가능하며 환자에게 위험성이 최소화되는 방법으로 측정

시장동향

- 류마티스 관절염 치료제 시장은 2016년 533억 2,400만 달러 규모에서 연평균 1%씩 성장하여 2022년 553억 6,100만 달러로 성장할 전망